交聯劑
crosslinking agent
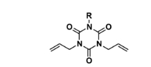
化學名稱:二烯丙基異氰尿酸酯
結構式:
商品名:JN890
分子式:C9H11N3O3
分子量:209.20
CAS 號:6294-79-7
性狀:低介電樹脂交聯劑,是無色液體~白色固體,溶于丙二醇甲醚醋酸酯(PGMEA)、甲苯、丁酮(MEK)等。
功能用途:
DAIC是一種含芳雜環的多功能烯烴單體,由于在DAIC的產品結構中存在穩定的三嗪環,因此它具有優異的化學穩定性和熱穩定性。而兩個烯丙基則具有很強的反應性,很容易進行加成反應、聚合反應;三嗪環上的氮氫,具有弱酸性,可以與堿反應生成鹽,與鹵代烴發生取代反應,是有機合成的重要中間體。DAIC也是用途廣泛的高分子材料助劑,在環氧樹脂改性、聚合物熱交聯和輻照交聯方面占有重要地位,如DAIC與聚氯乙烯、低密度聚乙烯、聚丙烯丙、聚對苯二甲酸乙二醇酯等交聯可制備相應的抗菌塑料。
質量指標:
| 項目 | 指標 |
| 外觀 | 白色或淡黃色粉末 |
| 初熔點 | 145-148℃ |
| 含量≥ | 98%, |
| 酸值≤ | 0.5% |
包裝貯存
宣傳頁下載: