交聯劑
crosslinking agent
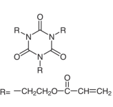
化學名稱:(2-羥乙基)異氰尿酸三丙烯酸酯
結構式:

商品名:JN892
分子式:C18H21N3O9
分子量:423.38
CAS 號:40220-08-4
性狀:白色或無色至幾乎白色或幾乎無色粉末至塊狀至透明液體。
功能用途:TAEICTA適用于光固化反應的丙烯酸酯類單體,可用于UV涂料、UV油墨、UV膠粘劑等各種不飽和體系的UV聚合反應。對塑膠有良好的附著性,高T9點,耐刮性佳。TAEIC是三官能度功能單體,耐沖擊性佳,高反應活性、耐水與耐化學性佳、良好的附著力等特性。同時還廣泛用于光固油墨,表面涂層、涂料及粘合劑中,并賦予良好的耐磨性和硬度附著力及光亮度。
質量指標:
項目 | 指標 |
外觀 | 白色或無色至幾乎白色或幾乎無色粉末至塊狀至透明液體 |
初熔點 | 53℃ |
含量 | ≥80%, |
Tg(℃) | 247 |
折射率 | 1.465 |
包裝貯存:該產品外包裝為紙箱,凈重20kg。內包裝以PE袋分成2袋,每袋10kg。按無毒、非危險品運輸。應在干燥、陰涼的條件下儲存。
宣傳頁下載: